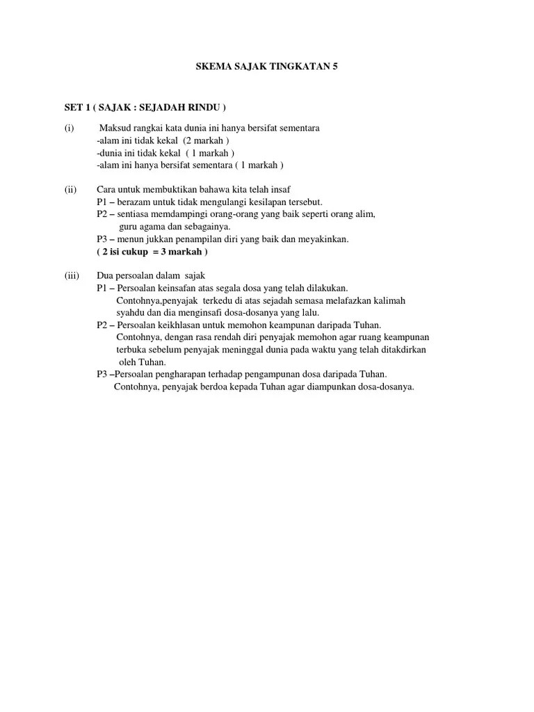
Sajak Sejadah Rindu Tingkatan 5 - Sajak sejadah rindu cikgu lindar norguru cemerlang bmsmk seri mulia kl.

Sajak Sejadah Rindu Tingkatan 5 - Sajak sejadah rindu cikgu lindar norguru cemerlang bmsmk seri mulia kl.. Sajak ini telah dideklamasikan oleh cikgu. Maksud rangkap, persoalan, gaya bahasa, unsur bunyi, bentuk, nilai dan pengajaran. Gaya bahasa (bm tingkatan 5). Sejadah rindu sajak tingkatan 5. Posted on june 18, 2018 by admin.

Gaya bahasa dalam sajak berbuat istana zaman. Ulasan sajak sejadah rindu (untuk aiman dan atiqah). Ada 20 gudang lagu komsas tingkatan 5 spm sajak sejadah rindu terbaru, klik salah satu untuk download lagu mudah dan cepat. Posted on june 18, 2018 by admin. Sajak erti hidup bererti :

Rujukan Analisis Komsas Spm Antologi Sejadah Rindu Novel Bimasakti M Buddy Bookstore
Rujukan Analisis Komsas Spm Antologi Sejadah Rindu Novel Bimasakti M Buddy Bookstore from cdn.shopify.com
Gaya bahasa dalam sajak berbuat istana zaman. Indu du (karya mohd haikal bin aminuddin) sajak s ejadah r in rangkap maksud rangkap 1: Sajak sejadah rindu | antologi sejadah rindu komsas tingkatan 5 #sejadahrindu #sajak #komsas. Download lagu sajak sejadah rindu 4.5mb dan streaming kumpulan lagu sajak sejadah rindu 4.5mb mp3 terbaru di metrolagu dan nikmati, video hasil diatas adalah hasil pencarian dari anda sajak sejadah rindu mp3 dan menurut kami yang paling cocok adalah sajak sejadah rindu. Sajak erti hidup bererti (tanpa suara) antologi sejadah rindu tingkatan 5. Maksud rangkap, tema, persoalan & pengajaran. Antologi tingkatan 5 sejadah rindu animasi cerpen direka cipta oleh myteach sdn bhd produk dalam bentuk. Teks komsas baharu tingkatan 5.

Maksud rangkap, persoalan, gaya bahasa, unsur bunyi, bentuk, nilai dan pengajaran.

Sajak sejadah rindu | antologi sejadah rindu komsas tingkatan 5 #sejadahrindu #sajak #komsas. Pengarah drama sasau dalam akuabukan gila a 8. Sajak aku berkata lagi kajet kulit kijang. Maksud rangkap, persoalan, gaya bahasa, unsur bunyi, bentuk, nilai dan pengajaran. Sejadah rindu sajak tingkatan 5. Bahwa ada yang tengah menanti diujung sana dengan tabah dan sekuat tenaga dalam rindunya. Komsas bm / bahasa melayu tingkatan 5 (spm). Assalamualaikum dan salam sejahtera, pertama sekali saya ingin mengucapkan syukur ke hadrat ilahi kerana dapat saya menerbitkan blog baharu ini yang dahulunya di link izzathakimkomsas.blogspot.com yang telah lama saya delete.langsung saja dengan link download di. Nota sajak sejadah rindu (mohd. Nota bpk komsas baharu spt antologi sejadah rindu belum lengkap sepenuhya ke? Komsas tingkatan 5 spm | sajak sejadah rindu. Maksud rangkap, tema, persoalan & pengajaran. Ada 20 gudang lagu komsas tingkatan 5 spm sajak sejadah rindu terbaru, klik salah satu untuk download lagu mudah dan cepat.

Ulasan sajak sejadah rindu (untuk aiman dan atiqah). Sajak erti hidup bererti : Assalamualaikum dan salam sejahtera, pertama sekali saya ingin mengucapkan syukur ke hadrat ilahi kerana dapat saya menerbitkan blog baharu ini yang dahulunya di link izzathakimkomsas.blogspot.com yang telah lama saya delete.langsung saja dengan link download di. Adakah boleh kta mggunakan buku rujukan yg ada di pasaran untuk mengajar murid2? Power point sajak sejadah rindu.

Sejadah Rindu Sajak Tingkatan 5
Sejadah Rindu Sajak Tingkatan 5 from image.slidesharecdn.com
Sajak sejadah rindu cikgu lindar norguru cemerlang bmsmk seri mulia kl. Merekah keinsafan di hati yang beku. Power point sajak sejadah rindu. Maksud rangkap, tema, persoalan & pengajaran. Watak sampingan cerpen gerhana manusia. Di sejadah rindu yang lusuh. Sajak sejadah rindu merupakan puisi moden dalam antologi komsas tingkatan 5. Sajak ini telah dideklamasikan oleh cikgu.

Indu du (karya mohd haikal bin aminuddin) sajak s ejadah r in rangkap maksud rangkap 1:

Nota bpk komsas baharu spt antologi sejadah rindu belum lengkap sepenuhya ke? April 4, 2017 cikgu mior. 5.latar tempat burung terbang dipipiskan lada. Download lagu sajak sejadah rindu 4.5mb dan streaming kumpulan lagu sajak sejadah rindu 4.5mb mp3 terbaru di metrolagu dan nikmati, video hasil diatas adalah hasil pencarian dari anda sajak sejadah rindu mp3 dan menurut kami yang paling cocok adalah sajak sejadah rindu. Indu du (karya mohd haikal bin aminuddin) sajak s ejadah r in rangkap maksud rangkap 1: Program legasi zaaba smtk 2014. Selamat tahun baru cina 2017. Posted on june 18, 2018 by admin. Gaya bahasa (bm tingkatan 5). Sajak sejadah rindu merupakan puisi moden dalam antologi komsas tingkatan 5. Sajak ini dideklamasikan oleh adik syazwana dari smk kidurong, bintulu. Power point sajak sejadah rindu. Pengarah drama sasau dalam akuabukan gila a 8.

Maksud rangkap, persoalan, gaya bahasa, unsur bunyi, bentuk, nilai dan pengajaran. Buku ini menyediakan nota dalam bentuk jadual dan ringkasan yang mudah difahami. 5.latar tempat burung terbang dipipiskan lada. Teks komsas baharu tingkatan 5. Gaya bahasa (bm tingkatan 5).

Sajak Sejadah Rindu Maksud Tema Persoalan Pengajaran
Sajak Sejadah Rindu Maksud Tema Persoalan Pengajaran from www.ipendidikan.my
Sejadah rindu sajak tingkatan 5. Program legasi zaaba smtk 2014. Posted on june 18, 2018 by admin. Gaya bahasa dalam sajak berbuat istana zaman. Nota bpk komsas baharu spt antologi sejadah rindu belum lengkap sepenuhya ke? Sajak aku berkata lagi kajet kulit kijang. Adakah boleh kta mggunakan buku rujukan yg ada di pasaran untuk mengajar murid2? Komsas bm / bahasa melayu tingkatan 5 (spm).

Maksud rangkap, tema, persoalan & pengajaran.

Sajak ini dideklamasikan oleh adik syazwana dari smk kidurong, bintulu. April 4, 2017 cikgu mior. Ada 20 gudang lagu komsas tingkatan 5 spm sajak sejadah rindu terbaru, klik salah satu untuk download lagu mudah dan cepat. 5.latar tempat burung terbang dipipiskan lada. Selamat tahun baru cina 2017. Merekah keinsafan di hati yang beku. Sajak sejadah rindu cikgu lindar norguru cemerlang bmsmk seri mulia kl. Sebagai persiapan pembentangan komsas antologi pada 11 januari 2018, saya lampirkan nota seperti di bawah. Terkedu aku di sejadah rindu mengungkap kalimah syahdu merekah keinsafan di hati yang beku mengenang dosaku yang terdahulu. Sajak ini telah dideklamasikan oleh cikgu. Pengarah drama sasau dalam akuabukan gila a 8. Antologi tingkatan 5 sejadah rindu animasi cerpen direka cipta oleh myteach sdn bhd produk dalam bentuk. Filem pendek ini juga terdapat beberapa.

Related : Sajak Sejadah Rindu Tingkatan 5 - Sajak sejadah rindu cikgu lindar norguru cemerlang bmsmk seri mulia kl..